无尽寒冬新手玩法攻略
- 手游技巧
- 2024-11-15 15:56:08
无尽寒冬这款游戏带你进入一个神秘且充满挑战的暗黑世界,在这个充满未知与危险的暗黑世界里,玩家将面对各种强大的敌人,并逐步揭开这个世界的秘密。下面是火芒游戏小编给大家带来的《无尽寒冬》新手玩法攻略,感兴趣的小伙伴们一起来看看吧。

《无尽寒冬》新手玩法攻略
由于新手三天的经验BUFF(前三天分别为4,5,6倍),因此最大化挂机效率是前三天最重要的任务,没有之一,跟随新手任务指令可以很快提升到35级,所以就不多说前面这部分了,需要注意的只有一点,牛场20,30级一定要打,只要武器及时更新(有首冲武器的不用更新,可以用到50级),轻松获得SSS评分,邮箱会奖励火炬,但是千万别多打,这两个等级的牛场只刷一次就行

配合任务送的经验球,能很快到达40级,40级要做的第一件事情,更新装备,项链戒指优先,洗练石不足的情况下,防具最后洗练。(关于洗练放在最后)正常情况下,装备洗练好后,在中午12点到1点之间配合一次加速托管可快速到达45级(挂机地图选择BOSS图,可每个地图挂1-2分钟看看哪里最高),
45级时购买爵位礼包,可以制作一个翅膀,第一个翅膀无须加入任何装备提升成功率,百分百出本职业的黄翅膀

做好翅膀后,再选择一个最高经验BOSS地图托管,离线和在线一样,不需要一直在线挂,晚上6点左右配合1次加速托管差不多能到达50级,如果只缺几千万经验可以选择继续挂机或者再刷1次40级的牛场,50级后再次更新装备(武器项链戒指),将经验效率拉到最高,此时最高经验图一般是召唤师或者都瑞尔,就可以使用加速托管
(前三天请将钻石托管和钻石牛场全部拉满,牛场的火炬和加速托管券可以存进仓库,托管券必须留到第三天再用)
按照这个思路玩第一天尽可能做到普通55级,先挂一点0级巅峰装备堆属性,经验全部用于升20级的巅峰等级,之后尽可能凑齐以下这几件巅峰20的装备,这里消耗一点重塑石洗出以下符文之语(按照项链-戒指-腰带-手套的顺序穿上符文之语)
项链:本职业橙色符文之语,
戒指:符文足够的情况下本职业五技能+1,如果符文较少就选二技能+1
腰带:本职业三技能+1的符文之语
手套:亚马逊2个都洗一技能的+1,野蛮人和法师可根据自己的符文数量选择一技能+1或者六技能+1
注:
1、前两天可每天在噩梦地图挂2小时左右,避免有巅峰装备但是没有符文可用
2、第一天托管BOSS勾选只到督瑞尔保证经验最大化,第二天开始可根据氪金度调整多勾选几个,都瑞尔之后的BOSS,击杀时间超过1分钟的不建议勾选,第四天开始可全部勾选
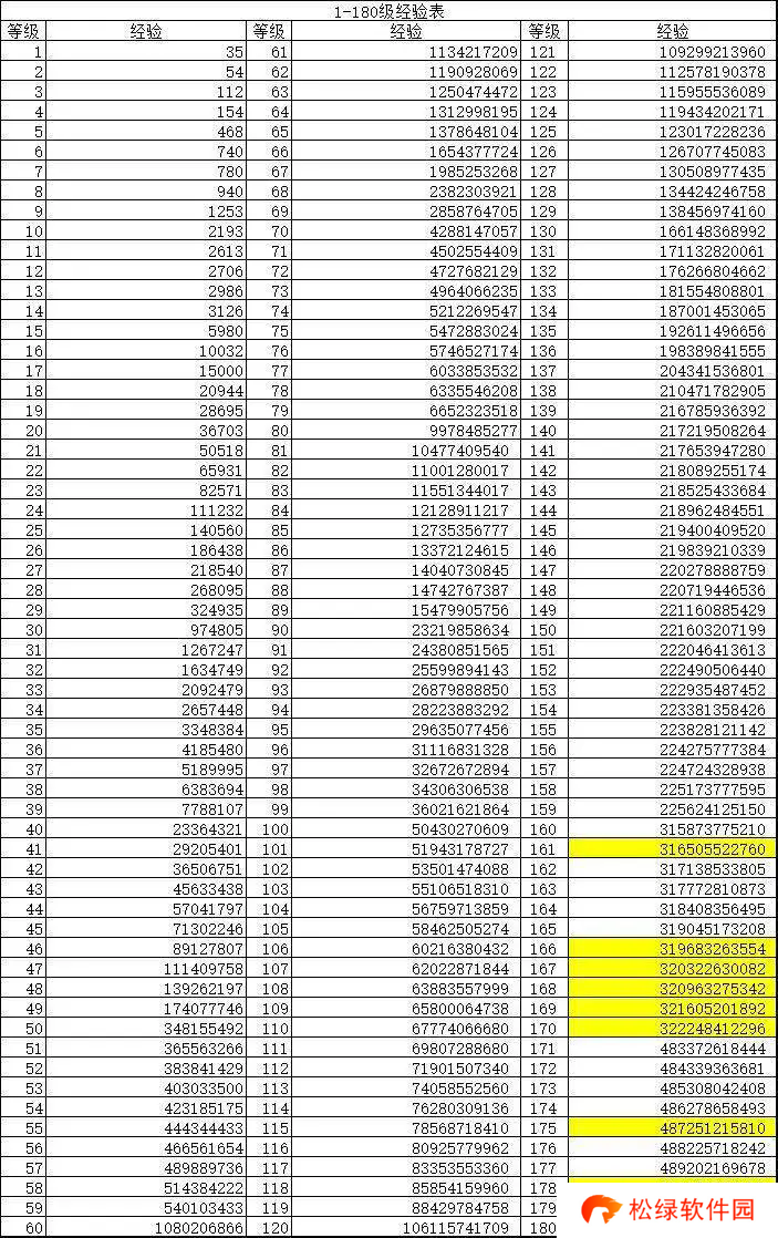
第二天如果想快人一步,在半夜12点后尽快刷到火焰领主地图,这个地图是前三天最重要的地图,如果没有氪金,会比较费药,刷到火焰领主后如果没办法到60级,就可以去睡觉了,第二天醒后基本能到达普通60级,还是更换装备,这里可以选择继续升级到普通70级,也可以选择巅峰等级拉到40级,40的巅峰武器可以洗出热情II的符文之语,可以更容易到达1.667的攻速阈值(阈值说明在后面),大幅提升效率。

白天继续挂2小时左右的巅峰BOSS图,到晚上如经验效率已经达到最大值并且无望到达70级就可以将当天的钻石加速托管全部拉满冲刺70,如果提前到达70级,先换装备再加速托管,70之后先升级巅峰等级到60,更换60巅峰装备
项链可以洗出二级的本职业橙色符文之语
手套戒指和腰带可以洗出技能+2符文之语
橙色武器和头可以洗出全技能+1的符文之语(如果55级的时候买了68块的充值头,就不需要换头盔)
第三天的目标就是冲刺普通80级,70级之后基本就可以挂机了,只要经验效率已经最大化就可以把仓库里的托管券,全部取出用完,火炬看情况使用,尽量留在每月1次的双倍经验活动使用,因为前三天的倍率对牛场无效
注:第三天70级之后经验可以存着先不升级,到晚上再升级,因为火焰领主只是70级的地图,等级过高会降低效率
第四天开始,依旧以普通等级为主,千氪以上玩家建议每天2次钻石牛场拉满,千氪以下根据自己的钻石选择是否购买次数,托管加速非万氪不建议点,每天只需要加速托管1次噩梦地图把1-8号符文刷齐就行,
注:噩梦地图每天产出符文固定,9和10号只有2个,需要刷齐1-8号后才会出,所以第四天开始加速托管1次噩梦可以省去挂噩梦的时间升级节奏按照以下顺序提升即可,普通等级默认优先于巅峰等级:(例,55-20代表普通55级和巅峰20级)
55-20, 尽量在第一天结束前做到,第一天的进度会大幅影响后续的升级节奏
60-40, 第二天为了攻速阈值达到1.667
70-60, 更换60巅峰装备
80-100,在巅峰88级时配合爵位礼包的12个100级以内巅峰直升丹
100-120,由于巅峰120级新增一个纹章位置,如果没有好纹章请跳过此等级段直接130-200 130-200,130级是目前的满级牛场,更换200巅峰装备
160-200或者180-200,由于160到180所需要经验量特别大并且180级只有套装没有普通装备,因此可以选择160级开始将经验全部消耗在巅峰等级上

以上就是火芒游戏小编整理带来的《无尽寒冬》新手玩法攻略,更多精彩内容,请点击关注火芒游戏,小编将持续为您更新!













